Pytanie 1
Jakie jest najwyższe dozwolone różnicowe natężenie prądu znamionowego wyłącznika różnicowoprądowego w celu zapewnienia ochrony przeciwpożarowej?
Wynik: 18/40 punktów (45,0%)
Wymagane minimum: 20 punktów (50%)
Jakie jest najwyższe dozwolone różnicowe natężenie prądu znamionowego wyłącznika różnicowoprądowego w celu zapewnienia ochrony przeciwpożarowej?
Który z podanych środków można uznać za metodę ochrony przed porażeniem w przypadku uszkodzenia?
To pytanie jest dostępne tylko dla zalogowanych użytkowników. Zaloguj się lub utwórz konto aby zobaczyć pełną treść pytania.
Odpowiedzi dostępne po zalogowaniu.
Wyjaśnienie dostępne po zalogowaniu.
To pytanie jest dostępne tylko dla zalogowanych użytkowników. Zaloguj się lub utwórz konto aby zobaczyć pełną treść pytania.
Odpowiedzi dostępne po zalogowaniu.
Wyjaśnienie dostępne po zalogowaniu.
Aby ocenić kondycję techniczną przewodów wyrównawczych, należy zmierzyć między każdą dostępną częścią przewodzącą a najbliższym punktem głównego przewodu wyrównawczego
Przedstawione w tabeli wyniki pomiarów rezystancji uzwojeń i izolacji silnika trójfazowego wskazują na
| Pomiar między zaciskami silnika | Rezystancja |
|---|---|
| U1 – U2 | 32 Ω |
| V1 – V2 | 32 Ω |
| W1 – W2 | 32 Ω |
| U1 – V1 | 0 |
| V1 – W1 | 5 MΩ |
| U1 – W1 | 5 MΩ |
| U1 – PE | 0 |
| V1 – PE | 0 |
| W1 – PE | 5 MΩ |
Jakie uszkodzenie lub defekt można wykryć podczas przeglądu instalacji elektrycznej w budynku mieszkalnym?
To pytanie jest dostępne tylko dla zalogowanych użytkowników. Zaloguj się lub utwórz konto aby zobaczyć pełną treść pytania.
Odpowiedzi dostępne po zalogowaniu.
Wyjaśnienie dostępne po zalogowaniu.
Jaki jest maksymalny dopuszczalny czas wyłączenia zasilania w celu zapewnienia ochrony przed porażeniem elektrycznym w przypadku uszkodzenia w systemie sieciowym TN-S, kiedy napięcie fazowe przekracza 400 V, a obwody odbiorcze mają prąd znamionowy do 32 A?
Kto jest zobowiązany do opracowania planów regularnych przeglądów oraz konserwacji instalacji elektrycznej w obiekcie mieszkalnym?
Trójfazowy silnik indukcyjny, obciążony połową swojej mocy znamionowej, działa z prędkością n = 1450 obr/min. W pewnym momencie doszło do spadku prędkości obrotowej, co spowodowało charakterystyczne "buczenie" silnika. Jakie mogły być przyczyny tego zakłócenia w pracy silnika?
To pytanie jest dostępne tylko dla zalogowanych użytkowników. Zaloguj się lub utwórz konto aby zobaczyć pełną treść pytania.
Odpowiedzi dostępne po zalogowaniu.
Wyjaśnienie dostępne po zalogowaniu.
Gdzie w instalacji jednofazowej należy umieścić wyłącznik RCD?
Na podstawie informacji przedstawionych na zamieszczonym na rysunku ekranie urządzenia pomiarowego ocen stan techniczny wyłącznika różnicowoprądowego 40 A/0,03 A.

To pytanie jest dostępne tylko dla zalogowanych użytkowników. Zaloguj się lub utwórz konto aby zobaczyć pełną treść pytania.
Odpowiedzi dostępne po zalogowaniu.
Wyjaśnienie dostępne po zalogowaniu.
To pytanie jest dostępne tylko dla zalogowanych użytkowników. Zaloguj się lub utwórz konto aby zobaczyć pełną treść pytania.
Odpowiedzi dostępne po zalogowaniu.
Wyjaśnienie dostępne po zalogowaniu.
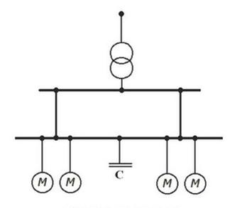
Na rysunku przedstawiono schemat układu pracy grupy silników trójfazowych w zakładzie przemysłowym.
Zmiana wartości pojemności baterii kondensatorów C powoduje zmianę

Który z podanych przewodów jest przeznaczony do instalacji wtynkowej?
To pytanie jest dostępne tylko dla zalogowanych użytkowników. Zaloguj się lub utwórz konto aby zobaczyć pełną treść pytania.
Odpowiedzi dostępne po zalogowaniu.
Wyjaśnienie dostępne po zalogowaniu.
Który z poniższych środków ostrożności nie jest wymagany dla zapewnienia bezpieczeństwa podczas realizacji prac przy linii napowietrznej, która została odłączona od zasilania?
To pytanie jest dostępne tylko dla zalogowanych użytkowników. Zaloguj się lub utwórz konto aby zobaczyć pełną treść pytania.
Odpowiedzi dostępne po zalogowaniu.
Wyjaśnienie dostępne po zalogowaniu.
To pytanie jest dostępne tylko dla zalogowanych użytkowników. Zaloguj się lub utwórz konto aby zobaczyć pełną treść pytania.
Odpowiedzi dostępne po zalogowaniu.
Wyjaśnienie dostępne po zalogowaniu.
Co oznacza symbol IP44 w kontekście ochrony urządzeń elektrycznych?
Jakie urządzenie powinno być użyte do zasilania obwodu SELV z sieci 230 V, 50 Hz?
To pytanie jest dostępne tylko dla zalogowanych użytkowników. Zaloguj się lub utwórz konto aby zobaczyć pełną treść pytania.
Odpowiedzi dostępne po zalogowaniu.
Wyjaśnienie dostępne po zalogowaniu.
To pytanie jest dostępne tylko dla zalogowanych użytkowników. Zaloguj się lub utwórz konto aby zobaczyć pełną treść pytania.
Odpowiedzi dostępne po zalogowaniu.
Wyjaśnienie dostępne po zalogowaniu.
Jaki dodatkowy komponent (urządzenie) jest wymagany do funkcjonowania silnika indukcyjnego trójfazowego, zasilanego napięciem jednofazowym U = 230 V, f= 50 Hz?
To pytanie jest dostępne tylko dla zalogowanych użytkowników. Zaloguj się lub utwórz konto aby zobaczyć pełną treść pytania.
Odpowiedzi dostępne po zalogowaniu.
Wyjaśnienie dostępne po zalogowaniu.
Istotnym czynnikiem wpływającym na skuteczność chłodzenia indukcyjnego silnika elektrycznego jest
To pytanie jest dostępne tylko dla zalogowanych użytkowników. Zaloguj się lub utwórz konto aby zobaczyć pełną treść pytania.
Odpowiedzi dostępne po zalogowaniu.
Wyjaśnienie dostępne po zalogowaniu.
W jakim celu stosuje się kompensację mocy biernej w instalacjach przemysłowych?
To pytanie jest dostępne tylko dla zalogowanych użytkowników. Zaloguj się lub utwórz konto aby zobaczyć pełną treść pytania.
Odpowiedzi dostępne po zalogowaniu.
Wyjaśnienie dostępne po zalogowaniu.
To pytanie jest dostępne tylko dla zalogowanych użytkowników. Zaloguj się lub utwórz konto aby zobaczyć pełną treść pytania.
Odpowiedzi dostępne po zalogowaniu.
Wyjaśnienie dostępne po zalogowaniu.
To pytanie jest dostępne tylko dla zalogowanych użytkowników. Zaloguj się lub utwórz konto aby zobaczyć pełną treść pytania.
Odpowiedzi dostępne po zalogowaniu.
Wyjaśnienie dostępne po zalogowaniu.
To pytanie jest dostępne tylko dla zalogowanych użytkowników. Zaloguj się lub utwórz konto aby zobaczyć pełną treść pytania.
Odpowiedzi dostępne po zalogowaniu.
Wyjaśnienie dostępne po zalogowaniu.
Jaki rodzaj wyłącznika nadprądowego powinno się użyć do ochrony kuchenki elektrycznej z trzema jednofazowymi grzałkami, których łączna moc wynosi 8,4 kW, zasilanych w fazach L1, L2, L3 w systemie trójfazowym o napięciu 230/400 V?
To pytanie jest dostępne tylko dla zalogowanych użytkowników. Zaloguj się lub utwórz konto aby zobaczyć pełną treść pytania.
Odpowiedzi dostępne po zalogowaniu.
Wyjaśnienie dostępne po zalogowaniu.
Która z poniższych przyczyn powoduje, że przekaźnik Buchholza działa na wyłączenie transformatora?
Jaką minimalną liczbę osób należy zaangażować do pracy w warunkach szczególnego zagrożenia?
Zwiększenie liczby kabli umieszczonych w jednej rurze instalacyjnej spowoduje