Filtrowanie pytań

Wybierz zawód, aby zobaczyć dostępne kwalifikacje

Eksploatacja maszyn, urządzeń…

Na podstawie wyników pomiarów zamieszczonych w przedstawionej tabeli określ uszkodzenie występujące w instalacji.

Pomiar napięcia między przewodem PE i drugim punktem instalacji
Drugi punkt pomiaru:Przewód fazowy LPrzewód neutralny NMetalowa rura COMetalowa rura gazowaMetalowa wanna łazienkowa
232 V0 V51 V49 V0 V
Wynik:232 V0 V51 V49 V0 V

A. Zwarcie między przewodem neutralnym i fazowym.
B. Uszkodzona izolacja przewodu neutralnego w pobliżu wanny.
C. Uszkodzone połączenia wyrównawcze miejscowe.
D. Przebicie izolacji przewodu fazowego do metalowych rur.
Eksploatacja maszyn, urządzeń…

Instalacja, w której zamontowano piec oporowy zawierający 3 grzałki o mocy 1 kW i napięciu 230 V każda, jest zasilana jednofazowo przewodem miedzianym o długości 45 m. Aby spadek napięcia ΔU% nie był większy niż 3%, do rozdzielnicy zasilającej powinien dochodzić przewód o przekroju nie mniejszym niż

Ilustracja do pytania 2
A. 6 mm2
B. 4 mm2
C. 1,5 mm2
D. 2,5 mm2
Eksploatacja maszyn, urządzeń…

W którym wierszu tabeli protokołu ze sprawdzenia skuteczności samoczynnego wyłączenia napięcia, którego fragment przedstawiono na rysunku, należy w kolumnie "Ocena" wpisać "nie"?

Lp.Nazwa obwodu lub urządzeniaTyp zabezpieczeniaIn
A
Ia
A
Zs
Ω
Zs
Ω
tw
s
Ocena
tak/nie
parter
1tablica TO-1WT gG632690,440,785
2gniazdo 10A/ZS191 B10500,984,600,4
3gniazdo 10A/ZS191 B10508,804,600,4
4gniazdo podwójne 10A/Z bolec 1P 1210,030,03216670,2
In – prąd znamionowy urządzenia dla urządzeń RCD In = IΔn
Ia – prąd powodujący samoczynne wyłączenie: Ia = k·In, dla urządzeń RCD Ia = IΔn
k – współczynnik przeliczony z charakterystyki czasowo-prądowej badanego typu zabezpieczenia
Zs – impedancja pętli zmierzona
Zs – największa dopuszczalna impedancja pętli: Zs = Wk·U0/Ia
gdzie Wk - współczynnik korekcyjny obostrzający wartość wymaganą
tw – największy dopuszczalny czas zadziałania zabezpieczenia

A. 2
B. 4
C. 3
D. 1
Eksploatacja maszyn, urządzeń…

Który z poniższych przypadków prowadzi do nadmiernego iskrzenia na komutatorze w silniku szeregowym?

A. Przegrzanie uzwojeń wirnika
B. Zwarcie pomiędzy zwojami wirnika
C. Przegrzanie uzwojeń stojana
D. Zbyt wysokie obroty wirnika
Eksploatacja maszyn, urządzeń…

Jakie uszkodzenie elektryczne może być przyczyną braku obrotów w lewą stronę w ręcznej wiertarce elektrycznej?

A. O uszkodzeniu wyłącznika z regulatorem prędkości obrotowej
B. O uszkodzeniu przełącznika kierunku prądu w wirniku
C. O zwarciu w uzwojeniach wirnika
D. O przerwie w uzwojeniu stojana
Eksploatacja maszyn, urządzeń…

Jakim środkiem ochrony przeciwporażeniowej zapewnia się bezpieczeństwo przed dotykiem pośrednim?

A. Instalowania osłon i barier
B. Umieszczenia elementów z napięciem poza zasięgiem ręki
C. Izolowania części czynnych
D. Samoczynnego szybkiego wyłączenia napięcia
Eksploatacja maszyn, urządzeń…

Jak często, według podanych w tabeli i zalecanych przez Prawo Budowlane czasookresów, należy wykonywać pomiary okresowe skuteczności ochrony przeciwporażeniowej i rezystancji izolacji instalacji elektrycznych w szkołach?

Zalecana częstotliwość wykonywania okresowych badań sprawności technicznej instalacji elektrycznych
w zależności od warunków środowiskowych
Lp.Rodzaj pomieszczeniaPomiar skuteczności ochrony
przeciwporażeniowej
(nie rzadziej niż):
Pomiar rezystancji izolacji
(nie rzadziej niż):
1O wyziewach żrących1 rok1 rok
2Zagrożonych wybuchem1 rok1 rok
3Otwarta przestrzeń1 rok5 lat
4Wilgotne i bardzo wilgotne
(o wilgotności względnej 75-100%)
1 rok5 lat
5Gorące (temperatura powyżej 35 °C)1 rok5 lat
6Zagrożone pożarem5 lat1 rok
7Stwarzające zagrożenie dla ludzi
(ZL I, ZL II, ZL III)
5 lat1 rok
8Zapylone5 lat5 lat


Pomiar skuteczności ochrony
przeciwporażeniowej
(nie rzadziej niż):
Pomiar rezystancji izolacji
(nie rzadziej niż):
A1 rok1 rok
B1 rok5 lat
C5 lat1 rok
D5 lat5 lat

A. A.
B. C.
C. B.
D. D.
Eksploatacja maszyn, urządzeń…

Do czego służy przyrząd przedstawiony na rysunku?

Ilustracja do pytania 13
A. Do lokalizacji uszkodzeń linii kablowej.
B. Do pomiarów rezystancji uziemienia uziomu.
C. Do sprawdzania ciągłości przewodów.
D. Do pomiarów rezystywności gruntu.
Eksploatacja maszyn, urządzeń…

Jakie warunki muszą zostać spełnione podczas pomiaru rezystancji izolacji w instalacji elektrycznej po wcześniejszym odłączeniu napięcia zasilającego?

A. Odłączone odbiorniki od gniazd wtyczkowych, włączone przełączniki oświetleniowe, zamontowane źródła światła
B. Włączone odbiorniki do gniazd wtyczkowych, włączone przełączniki oświetleniowe, wymontowane źródła światła
C. Włączone odbiorniki do gniazd wtyczkowych, włączone przełączniki oświetleniowe, zamontowane źródła światła
D. Odłączone odbiorniki od gniazd wtyczkowych, włączone przełączniki oświetleniowe, wymontowane źródła światła
Eksploatacja maszyn, urządzeń…

Dokumentacja użytkowania instalacji elektrycznych, które są chronione wyłącznikami nadmiarowo-prądowymi, nie musi zawierać

A. spisu terminów oraz zakresów prób i pomiarów kontrolnych
B. specyfikacji technicznej instalacji
C. opisu doboru urządzeń zabezpieczających
D. zasad bezpieczeństwa przy realizacji prac eksploatacyjnych
Eksploatacja maszyn, urządzeń…

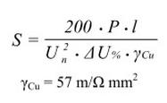
Instalacja, w której zamontowano piec oporowy zawierający 3 grzałki o mocy 1 kW i napięciu 230 V każda, jest zasilana jednofazowo przewodem miedzianym o długości 45 m. Aby spadek napięcia \( \Delta U\% \) nie był większy niż 3%, do rozdzielniczy zasilającej powinien dochodzić przewód o przekroju nie mniejszym niż
$$ S = \frac{200 \cdot P \cdot l}{U_n^2 \cdot \Delta U_{\%} \cdot \gamma_{Cu}} $$
\( \gamma_{Cu} = 57 \, \text{m/} \Omega \, \text{mm}^2 \)

A. 6 mm²
B. 2,5 mm²
C. 4 mm²
D. 1,5 mm²
Eksploatacja maszyn, urządzeń…

W tabeli zamieszczono wyniki kontrolnych pomiarów rezystancji uzwojeń stojana silnika trójfazowego połączonych jak na przedstawionym schemacie. Przedstawione wyniki świadczą o

Rezystancja uzwojeń stojana między zaciskamiWartość
Ω
U1 – V115
V1 – W1
W1 – U1

Ilustracja do pytania 20
A. zwarciu międzyzwojowym w uzwojeniu V1 – V2
B. zwarciu międzyzwojowym w uzwojeniu U1 – U2
C. przerwie w uzwojeniu W1 – W2
D. przerwie w uzwojeniu V1 – V2
Eksploatacja maszyn, urządzeń…

Aby ocenić efektywność ochrony przed porażeniem elektrycznym realizowanej przez automatyczne odłączenie zasilania zabezpieczeniem o określonym prądzie wyłączenia w systemie elektrycznym o danej wartości napięcia znamionowego, potrzebna jest informacja o wartości

A. impedancji pętli zwarcia instalacji
B. maksymalnego spadku częstotliwości w sieci zasilającej
C. mocy zainstalowanych urządzeń elektrycznych w instalacji
D. maksymalnej współczynnika przepięć
Eksploatacja maszyn, urządzeń…

Która z poniższych tachoprądnic, poza pomiarem prędkości obrotowej wirującego wału, pozwala również na określenie kierunku jego obrotu?

A. Synchroniczna
B. Dwufazowa z wirnikiem kubkowym
C. Dwufazowa z wirnikiem klatkowym
D. Prądu stałego
Eksploatacja maszyn, urządzeń…

Który z silników może pracować przy obciążeniu długotrwałym w układzie połączeń pokazanym na rysunku?

A.5,5 kW400/690 V
Δ/Y
IP55S22920 obr/min
B.1,5 kW400/690 V
Δ/Y
IP45S11430 obr/min
C.5,5 kW230/400 V
Δ/Y
IP55S12920 obr/min
D.1,5 kW230/400 V
Δ/Y
IP45S21430 obr/min

Ilustracja do pytania 29
A. C.
B. B.
C. D.
D. A.
Eksploatacja maszyn, urządzeń…

W instalacji elektrycznej budynku mieszkalnego wykonanej w układzie TN-S obwody gniazd zasilanych napięciem 230 V zabezpieczone są aparatami S301 B16. W trakcie pomiarów kontrolnych zmierzono impedancję pętli zwarcia tych obwodów i wyniki pomiarów zamieszczono w tabeli. Zakładając, że błąd miernika można pominąć, w którym obwodzie otrzymano negatywny wynik pomiaru?

Nazwa obwoduWartość impedancji pętli zwarcia, Ω
G12,55
G22,90
G32,66
G42,87

Dla zapewnienia ochrony przeciwporażeniowej musi być spełniony warunek:
$$ Z_s \cdot I_a \leq U_0 $$

A. G1
B. G4
C. G3
D. G2
Eksploatacja maszyn, urządzeń…

Podczas serwisowania urządzenia wymieniono uszkodzony silnik bocznikowy prądu stałego. W trakcie próbnego uruchamiania silnika zauważono, że jego prędkość obrotowa jest wyższa od wartości nominalnej. Co może być przyczyną tego zjawiska?

A. Brak obciążenia na silniku
B. Uszkodzenie w połączeniu uzwojenia bocznikowego z zasilaczem
C. Uszkodzenie w połączeniu uzwojenia twornika z zasilaczem
D. Zwarcie w obwodzie wzbudzenia silnika
Eksploatacja maszyn, urządzeń…

Która z poniższych okoliczności wymaga przeprowadzenia pomiarów kontrolnych w instalacji elektrycznej niskiego napięcia?

A. Zmiana rodzaju źródeł światła w oprawach oświetleniowych
B. Zadziałanie zabezpieczenia przedlicznikowego
C. Rozbudowanie instalacji
D. Zadziałanie wyłącznika różnicowoprądowego
Eksploatacja maszyn, urządzeń…

Jak wymiana uzwojenia pierwotnego na inne, wykonane z drutów nawojowych o podwójnym przekroju i tej samej liczbie zwojów, wpłynie na działanie transformatora, przy zachowanym uzwojeniu wtórnym?

A. Zmaleje napięcie na końcówkach uzwojenia wtórnego
B. Zredukuje się moc pobierana z transformatora
C. Zwiększy się efektywność transformatora
D. Wzrasta napięcie na końcówkach uzwojenia wtórnego
Eksploatacja maszyn, urządzeń…

Jakie wymagania muszą być spełnione podczas pomiaru rezystancji izolacyjnej w instalacji elektrycznej po wcześniejszym odłączeniu zasilania?

A. Wyłączone urządzenia z gniazd wtyczkowych, aktywne łączniki oświetleniowe, usunięte źródła światła
B. Włączone urządzenia do gniazd wtyczkowych, aktywne łączniki oświetleniowe, usunięte źródła światła
C. Wyłączone urządzenia z gniazd wtyczkowych, aktywne łączniki oświetleniowe, zamontowane źródła światła
D. Włączone urządzenia do gniazd wtyczkowych, aktywne łączniki oświetleniowe, zamontowane źródła światła
Eksploatacja maszyn, urządzeń…

Zamieszczone w tabeli wyniki pomiarów rezystancji izolacji uzwojeń trójfazowego silnika asynchronicznego o napięciu Un = 400 V i prądzie In = 20 A świadczą o uszkodzeniu izolacji

UzwojenieRezystancja izolacji między uzwojeniem a obudową
U1-U24 000
V1-V26 000
W1-W28 000

A. uzwojenia V1-V2.
B. uzwojeń U1-U2 i W1-W2.
C. uzwojeń U1-U2 i V1-V2.
D. uzwojenia U1-U2.
Eksploatacja maszyn, urządzeń…

Jakie czynności związane z użytkowaniem urządzeń elektrycznych są obowiązkiem personelu odpowiedzialnego za te urządzenia?

A. Zarządzanie czasem pracy
B. Włączanie i wyłączanie
C. Oględziny wymagające demontażu
D. Przeglądy wymagające demontażu
ELE.05 Pytanie 39
Eksploatacja maszyn, urządzeń…

Który przedział wartości napięcia U2 można uzyskać w przedstawionym na schemacie układzie dzielnika napięcia o danych: U1 = 12V, R1 = 3Ω, R2 = 9Ω?

Ilustracja do pytania 39
A. 0 V ÷ 12 V
B. 0 V ÷ 9 V
C. 9 V ÷ 12 V
D. 3 V ÷ 12 V