Filtrowanie pytań
Eksploatacja i programowanie …
A. Download
B. Write
C. Erase Memory
D. Upload
Montaż, uruchamianie i konser…
Jakie znaczenie mają parametry zaworu pneumatycznego rozdzielającego: Gl/8; 550 Nl/min; 12 V AC; 3 VA w podanej kolejności?
A. przyłącze stożkowe, przepływ nominalny powietrza, napięcie zmienne cewki, moc czynna cewki
B. przyłącze stożkowe, ciśnienie nominalne powietrza, napięcie stałe cewki, moc pozorna cewki
C. przyłącze walcowe, przepływ nominalny powietrza, napięcie zmienne cewki, moc pozorna cewki
D. przyłącze walcowe, ciśnienie nominalne powietrza, napięcie stałe cewki, moc czynna cewki
Montaż, uruchamianie i konser…
W normalnych warunkach działania wyłącznika różnicowoprądowego wektorowa suma natężeń prądów sinusoidalnych przepływających w przewodach fazowych oraz neutralnym wynosi
A. 0 A
B. 3 A
C. 2 A
D. 1 A
Eksploatacja i programowanie …
Jakiego czujnika należy używać do obserwacji temperatury uzwojeń silnika elektrycznego?
A. Termistora
B. Tensometru
C. Warystora
D. Hallotronu
ELM.06 Pytanie 1125
Eksploatacja i programowanie …
Gdzie nie powinno się stosować urządzeń mechatronicznych z silnikiem komutatorowym?
A. W mleczarni
B. W chłodni
C. W lakierni
D. W suszarni
Montaż, uruchamianie i konser…
Jakiego urządzenia należy użyć do określenia natężenia prądu płynącego przez urządzenie bez konieczności przerywania obwodu?
A. Amperomierza tablicowego
B. Multimetra analogowego
C. Amperomierza cęgowego
D. Multimetra uniwersalnego
Montaż, uruchamianie i konser…
Jak należy nastawić amperomierz, aby zmierzyć prąd w układzie pokazanym na rysunku?

A. DC, zakres 10 A
B. AC, zakres 10 A
C. DC, zakres 5 A
D. AC, zakres 5 A
Montaż, uruchamianie i konser…
W instalacji pneumatycznej przedstawionej na rysunku przewód główny, do którego podłącza się m.in. kolejne układy sterowania pneumatycznego zainstalowany, jest ze spadkiem 1% w celu

A. umożliwienia spływu kondensatu.
B. spowolnienia przepływu.
C. poprawy szczelności.
D. przyspieszenia przepływu.
Eksploatacja i programowanie …
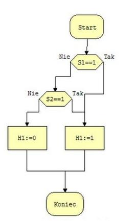
Na rysunku przedstawiono model magazynu grawitacyjnego oraz fragment algorytmu jego działania. W celu przetestowania działania układu należy sprawdzić, czy wysunięcie detalu z magazynu nastąpi, gdy wciśnięty zostanie przycisk _S1 oraz czy

A. tłoczysko siłownika znajduje się w pozycji wysuniętej.
B. tłoczysko siłownika znajduje się w pozycji wsuniętej.
C. nieaktywny jest czujnik wykrywania pustego magazynu.
D. aktywny jest czujnik wykrywania pustego magazynu.
Eksploatacja i programowanie …
Aby zmienić wartość skoku gwintu, należy dostosować wartość numeryczną obok litery adresowej
N100 G00 X55 Z5
N110 T3 S80 M03
N120 G31 X50 Z-30 D-2 F3 Q3
A. F (prędkość posuwu)
B. D (korektor narzędzia)
C. Q (promień wodzący)
D. T (wybór narzędzia)
Eksploatacja i programowanie …
Jakim skrótem literowym określa się oprogramowanie do tworzenia wizualizacji procesów industrialnych?
A. CAE
B. SCADA
C. CAD
D. CAM
Montaż, uruchamianie i konser…
Na rysunku przedstawiono frezowanie

A. czołowe pełne.
B. czołowe niepełne.
C. obwodowe przeciwbieżne.
D. obwodowe współbieżne.
Montaż, uruchamianie i konser…
Na rysunku przedstawiono symbol graficzny siłownika pneumatycznego

A. pochającego jednostronnego działania.
B. mieszkowego.
C. ciągnącego jednostronnego działania.
D. udarowego.
Eksploatacja i programowanie …
Do zobrazowania relacji między elementami i zespołami projektowanej maszyny wykorzystuje się rysunek
A. rzutowy
B. częściowy
C. złożeniowy
D. zespołowy
Eksploatacja i programowanie …
Parametry takie jak powierzchnia membrany, temperatura operacyjna, typ napędu, maksymalne ciśnienie, skok oraz precyzja położenia są charakterystyczne dla
A. silnika hydraulicznego
B. smarownicy pneumatycznej
C. siłownika pneumatycznego
D. siłownika hydraulicznego
Montaż, uruchamianie i konser…
Jakie jest zastosowanie transoptora?
A. galwanicznej izolacji obwodów
B. galwanicznego połączenia obwodów
C. sygnalizacji transmisji
D. zamiany impulsów elektrycznych na promieniowanie świetlne
ELM.03 Pytanie 1137
Montaż, uruchamianie i konser…
Napięcie wyjściowe zasilacza zasilającego sterownik PLC zainstalowany w urządzeniu mechatronicznym, zgodnie z parametrami przedstawionymi w tabeli, może wynosić
| Parametry techniczne sterownika | |
|---|---|
| Normy i przepisy | IEC 61131-2 |
| Typ produktu | Sterownik kompaktowy |
| Liczba wejść dyskretnych | 6 |
| Napięcie wejść dyskretnych | 24 V DC |
| Liczba wyjść dyskretnych | 4 przekaźnikowe |
| Typ wyjść | przekaźnikowe |
| Sygnalizacja stanów | LED |
| Napięcie zasilania | 24 V DC |
| Dopuszczalny zakres napięcia zasilania | 21,2÷28,8 V DC |
| Tętnienia | <5% |
A. 15 V DC
B. 30 V DC
C. 20 V DC
D. 25 V DC
Montaż, uruchamianie i konser…
Prąd jałowy transformatora wynosi około 10% prądu znamionowego. Aby precyzyjnie zmierzyć prąd jałowy transformatora o parametrach SN = 2300 VA, U1N = 230 V, U2N = 10 V, należy zastosować amperomierz prądu przemiennego o zakresie pomiarowym
A. 3,6 A
B. 0,6 A
C. 15,0 A
D. 1,2 A
ELM.06 Pytanie 1139
Eksploatacja i programowanie …
Jakim momentem powinien być obciążony silnik o charakterystykach obciążenia przedstawionych na rysunku, aby jego sprawność była największa oraz jaki prąd będzie pobierał ten silnik z sieci?

A. M=3,5Nm, I=0,95 A
B. M=1,5Nm, I=0,65 A
C. M=3,5Nm, I=1,45 A
D. M=1,5Nm, I=0,80 A
ELM.06 Pytanie 1140
Eksploatacja i programowanie …
Jaka prędkość wyjścia tłoka siłownika hydraulicznego o powierzchni czynnej A = 3·10-3 m2 będzie, jeśli natężenie przepływu wynosi Q = 1,5·10-3 m3/s?
A. 5 m/s
B. 0,3 m/s
C. 0,5 m/s
D. 3 m/s
Eksploatacja i programowanie …
Urządzenie przedstawione na rysunku, w projektowanym systemie mechatronicznym, będzie mogło pełnić funkcję

A. analizatora stanów logicznych.
B. regulatora przepływu.
C. dotykowego panelu operatorskiego.
D. regulatora PID.
Montaż, uruchamianie i konser…
Maksymalne natężenie przepływu dla pompy hydraulicznej, której dane katalogowe zamieszczono w ramce, wynosi
| Dane techniczne pompy hydraulicznej | |
|---|---|
| Objętość geometryczna: | 60 cm3 |
| Maksymalne natężenie przepływu Q: | 120 dm3/min |
| Natężenie przepływu przy 1000 obr./min: | 80 dm3/min |
| Maksymalna prędkość obrotowa: | 5000 obr/min |
| Maksymalne ciśnienie ciągłe: | 600 barów |
| Zakres temperatury pracy: | -5 ÷ 60 °C |
| Lepkość oleju hydraulicznego: | 10 ÷ 400 cSt |
A. 120 dm3/min
B. 40 dm3/min
C. 200 dm3/min
D. 80 dm3/min
Montaż, uruchamianie i konser…
Który rodzaj smaru powinien być regularnie uzupełniany w smarownicy pneumatycznej?
A. Olej
B. Proszek
C. Silikon
D. Pastę
ELM.03 Pytanie 1144
Montaż, uruchamianie i konser…
Na podstawie przedstawionej tabliczki znamionowej pompy hydraulicznej określ jej maksymalną wydajność.

A. 24 V DC
B. 6 dm3/min
C. 40 dm3
D. 250 bar
Eksploatacja i programowanie …
Jaki symbol literowy, zgodny z normą IEC 61131, wykorzystywany jest w oprogramowaniu sterującym dla PLC do identyfikacji jego fizycznych wejść dyskretnych?
A. S
B. |
C. Q
D. R
Montaż, uruchamianie i konser…
Jaki rodzaj czujnika nadaje się do pomiaru poziomu bez kontaktu?
A. Czujnik pojemnościowy
B. Czujnik ultradźwiękowy
C. Czujnik hydrostatyczny
D. Czujnik pływakowy
Eksploatacja i programowanie …
Na jak długo zostanie ustawiony stan 1 na wyjściu Q1 sterownika, realizującego program przedstawiony na rysunku, po pojawieniu się stanu 1 na wejściu I1?

A. 3 s
B. 5 s
C. 2 s
D. 8 s
Montaż, uruchamianie i konser…
Jakiego rodzaju środek ochrony indywidualnej powinien w szczególności wykorzystać pracownik podczas wymiany tranzystora CMOS?
A. Opaskę uziemiającą
B. Fartuch ochronny z bawełny
C. Ochronne okulary
D. Buty z izolującą podeszwą
Montaż, uruchamianie i konser…
Jakiego koloru powinna być izolacja przewodu PE?
A. Niebieski.
B. Żółto-zielony.
C. Brązowy.
D. Zielony.
ELM.06 Pytanie 1150
Eksploatacja i programowanie …
Na podstawie fragmentu instrukcji serwisowej wskaż prawdopodobną przyczynę nieprawidłowej pracy urządzenia, jeżeli na jego wyświetlaczu wyświetla się kod błędu FA.
| KODY BŁĘDÓW | ||
|---|---|---|
| Nr | Kod błędu | Problem |
| 1. | E1 | Usterka czujnika temperatury pomieszczenia |
| 2. | E2 | Usterka czujnika temperatury wymiennika zewn. |
| 3. | E3 | Usterka czujnika temperatury wymiennika wewn. |
| 4. | E4 | Usterka silnika jednostki wewnętrznej lub problem z sygnałem zwrotnym |
| 5. | E5 | Brak komunikacji między jednostkami wewn. i zewn. |
| 6. | F0 | Usterka silnika prądu stałego wentylatora jednostki zewn. |
| 7. | F1 | Uszkodzenie modułu IPM |
| 8. | F2 | Uszkodzenie modułu PFC |
| 9. | F3 | Problem ze sprężarką |
| 10. | F4 | Błąd czujnika temperatury przegrzania |
| 11. | F5 | Zabezpieczenie temperatury głowicy sprężarki |
| 12. | F6 | Błąd czujnika temperatury otoczenia jednostki zewn. |
| 13. | F7 | Zabezpieczenie przed zbyt wysokim lub za niskim na- pięciem zasilania |
| 14. | F8 | Błąd komunikacji modułów jednostki zewnętrznej |
| 15. | F9 | Błąd pamięci EEPROM jednostki zewnętrznej |
| 16. | FA | Błąd czujnika temperatury ssania (uszkodzenie zaworu 4 drogowego) |
A. Nieprawidłowa wartość napięcia zasilania.
B. Problem ze sprężarką.
C. Uszkodzenie modułu IPM.
D. Błąd czujnika temperatury ssania.
Montaż, uruchamianie i konser…
W aplikacjach sterujących, wykonywanych przy użyciu sterownika PLC, do zapisywania sygnałów impulsowych oraz ich konwersji na sygnały trwałe (włączanie z samopodtrzymaniem) wykorzystuje się moduły
A. zegarów czasowych
B. filtrów komparatorowych
C. rejestrów licznikowych
D. przerzutników
Montaż, uruchamianie i konser…
Jakie narzędzie należy zastosować do pomiaru luzów pomiędzy powierzchniami elementów konstrukcyjnych?
A. szczelinomierz
B. suwmiarka
C. mikrometr
D. liniał
Montaż, uruchamianie i konser…
Którym z przedstawionych przyrządów pomiarowych można zmierzyć głębokość uskoku?

A. B.
B. C.
C. A.
D. D.
Montaż, uruchamianie i konser…
Tachogenerator przy obrotach 1000 obr./min. wytwarza napięcie 30 V. Jaką wartość napięcia wygeneruje ten tachogenerator przy prędkości obrotowej 200 obr./min?
A. 6 V
B. 15 V
C. 3 V
D. 5 V
Montaż, uruchamianie i konser…
Jakie urządzenie pomiarowe wykorzystuje się do określania podciśnienia?
A. Wakuometr
B. Dynamometr
C. Pirometr
D. Wariometr
Montaż, uruchamianie i konser…
Pierścienie uszczelniające siłownika dwustronnego działania są oznaczone cyframi

A. 2 i 3
B. 1 i 9
C. 5 i 8
D. 4 i 7
Montaż, uruchamianie i konser…
Elementy zespołów przeznaczone do montażu powinny być ułożone na stanowisku pracy zgodnie z
A. rozmiarem
B. formą
C. kolejnością montażu
D. poziomem skomplikowania
Montaż, uruchamianie i konser…
Aby poprawić efektywność montażu połączeń gwintowych, wykorzystuje się klucze
A. oczko
B. zapadkowe
C. uniwersalne
D. płaskie
Montaż, uruchamianie i konser…
Rezystancja którego z podanych czujników zmniejsza się w miarę wzrostu temperatury?
A. Termistora PTC
B. Termistora NTC
C. Termopary K
D. Termopary J
Eksploatacja i programowanie …
Na rysunku przedstawiono diagram działania jednego z bloków funkcyjnych sterownika PLC. Jest to blok

A. zegara czasowego TON.
B. zegara czasowego TOF.
C. licznika impulsów zliczającego w górę.
D. licznika impulsów zliczającego w dół.