Filtrowanie pytań
Montaż i eksploatacja środków…
A. krytego z rozsuwanymi ścianami
B. zbiornikowego
C. samowyładowczego
D. węglarki
Montaż i eksploatacja środków…
Przedstawione w tabeli parametry odnoszą się do
| Oznaczenie typu | EE541 |
| Napięcie znamionowe [V] | 3000/2 |
| Moc ciągła [kW] | 500 |
| Moc godzinowa [kW] | 520 |
| Prąd mocy ciągłej [A] | 355 |
| Prąd mocy godzinowej [A] | 370 |
| Prędkość obrotowa mocy ciągłej [obr./min] | 965 |
| Prędkość obrotowa mocy godzinowej [obr./min] | 930 |
| Rodzaj uzwojenia wzbudzenia | szeregowe |
| Masa [kg] | 4200 |
A. elektrycznego silnika trakcyjnego prądu stałego.
B. prądnicy pomocniczej prądu przemiennego.
C. spalinowego silnika trakcyjnego.
D. elektrycznego silnika sprężarki głównej lokomotywy.
Montaż i eksploatacja środków…
Czuwak aktywny to sprzęt wymagający
A. okresowej zmiany pozycji nastawnika jazdy
B. naciśnięcia przycisku czujności w regularnych odstępach czasowych
C. ciągłego przytrzymywania naciśniętego przycisku czujności
D. uruchomienia kamery obserwującej zachowanie maszynisty
Montaż i eksploatacja środków…
W miejscu zaznaczonym strzałką na rysunku należy sprawdzić poziom

A. elektrolitu w akumulatorach.
B. oleju do smarowania obrzeża.
C. wody w zbiorniku wyrównawczym.
D. piasku w piasecznicy.
Montaż i eksploatacja środków…
Na ilustracji przedstawiono pojazd przeznaczony do

A. pasażerskiego ruchu lokalnego.
B. prac manewrowych w obrębie zelektryfikowanych stacji rozrządowych.
C. pomiarów geometrii toru kolejowego.
D. prac rewizyjnych przy sieci trakcyjnej.
Montaż i eksploatacja sieci z…
Jakie numery przydzielono odłącznikom przewodów zasilających w podstacji trakcyjnej toru głównego nieparzystego, znajdującego się po stronie wjazdowej i wyjazdowej ze stacji?
A. 101, 102, 107
B. 10, 30
C. 20, 40
D. 3, 7, 17, 101
Montaż i eksploatacja środków…
W miejscach zaznaczonych strzałkami na ilustracji należy sprawdzić poziom

A. elektrolitu w akumulatorach.
B. oleju do smarowania obrzeża.
C. piasku do piasecznic.
D. wody w zbiorniku wyrównawczym.
Montaż i eksploatacja środków…
Po ustawieniu hamulca w pozycji jazdy (odhamowania) ciśnienie w przewodzie głównym, po osiągnięciu oczekiwanych nominalnych 5 bar, nadal rośnie, aż ustabilizuje się na wysokości 6 bar. Przyczyną tego zjawiska może być
A. usterka pomocniczej sprężarki powietrza
B. nieszczelność w przewodzie głównym
C. awaria regulatora ciśnienia PG
D. uszkodzenie głównej sprężarki powietrza
Montaż i eksploatacja sieci z…
Jaką funkcję pełni przewód oznaczony niebieską izolacją?
A. odgromowy
B. neutralny N
C. ochronny PE
D. liniowy L
Montaż i eksploatacja środków…
Na rysunku przedstawiono

A. zewnętrzny cylinder hamulca.
B. wózek wyposażony w prądnicę wagonową.
C. silnik trakcyjny lokomotywy.
D. pomocniczy napęd wagonu.
Montaż i eksploatacja sieci z…
Podstawowym narzędziem diagnostycznym do pomiaru napięcia w sieci trakcyjnej jest
A. amperomierz
B. omomierz
C. woltomierz
D. termometr
Montaż i eksploatacja sieci z…
Długotrwałe ładowanie akumulatora kwasowego prądem znacznie przewyższającym wartość podaną w instrukcji obsługi może skutkować
A. eksplozją akumulatora
B. wielokrotnym wzrostem napięcia na terminalach akumulatora
C. podwyższeniem pojemności akumulatora powyżej wartości znamionowej
D. przeformowaniem elektrod
Montaż i eksploatacja środków…
Czym charakteryzuje się lokomotywa manewrowa?
A. Posiada możliwość przewożenia dodatkowych pasażerów.
B. Posiada jedną kabinę i pomosty dla pracowników manewrowych.
C. Może operować tylko na liniach zelektryfikowanych.
D. Posiada kocioł i kabel wysokiego napięcia do ogrzewania wagonów.
Montaż i eksploatacja środków…
Po ustawieniu sterownika hamulca w pozycji jazdy (odhamowania) ciśnienie w przewodzie głównym po osiągnięciu pożądanych nominalnych 5 bar wciąż wzrasta aż do ustabilizowania się na poziomie 6 bar. Przyczyną tego zjawiska może być
A. nieszczelność przewodu głównego.
B. uszkodzenie regulatora ciśnienia PG.
C. uszkodzenie głównej sprężarki powietrza.
D. niesprawność pomocniczej sprężarki powietrza.
Montaż i eksploatacja środków…
Jak definiuje się pojazd z układem Bo' Bo'?
A. zespół trakcyjny składający się z trzech wózków dwuosiowych, z czego skrajne są toczne, a środkowy jest napędzany.
B. jednoczłonowa lokomotywa sześcioosiowa z dwoma wózkami, w których skrajne osie są napędowe, a środkowa jest toczna.
C. jednoczłonowa lokomotywa czteroosiowa z dwoma wózkami, gdzie każda oś jest napędzana osobnymi silnikami trakcyjnymi.
D. dwuczłonowa lokomotywa, w której każdy z członów ma 3 osie osadzone sztywno w ramie, z tym że skrajne są napędzane, a środkowa jest toczna.
Montaż i eksploatacja środków…
Na rysunku przedstawiono podwozie wagonu

A. sprzężone.
B. mieszane.
C. wózkowe.
D. ostojnicowe.
Montaż i eksploatacja środków…
Utrzymywanie pojazdu kolejowego zgodnie z obowiązującymi przepisami dotyczącymi danej serii, wymaga do stosowania się do zaleceń zawartych w
A. DTR.
B. instrukcji obsługi.
C. DSU.
D. DTSU.
Montaż i eksploatacja sieci z…
Na rysunkach przedstawiono

A. wyłącznik instalacyjny.
B. falownik.
C. transformator.
D. przekaźnik.
Montaż i eksploatacja środków…
Na rysunku przedstawiony element zaznaczony cyfrą 4 to

A. dmuchawa gorącego powietrza.
B. sprężarka główna.
C. silnik trakcyjny.
D. prądnica główna.
Montaż i eksploatacja sieci z…
Zamiana uszkodzonego izolatora sekcyjnego wymaga użycia
A. wózka motorowego
B. wagonu pomiarowego
C. pociągu sieciowego
D. pociągu gospodarczego
TKO.06 Pytanie 181
Montaż i eksploatacja środków…
Cykliczny odgłos o jednolitym interwale czasowym oraz wysokich obciążeniach udarowych w miejscu styku koła z szyną podczas ruchu jest spowodowany
A. zużyciem falistym szyn
B. uszkodzeniem systemu hamulcowego pojazdu
C. uszkodzeniem sprężynowania pojazdu
D. płaskiem miejscem na powierzchni tocznej koła
Montaż i eksploatacja sieci z…
Jaką wkładkę topikową należy zamontować zamiast uszkodzonej wkładki o pełnozakresowym wyłączaniu i żółtym wskaźniku zadziałania?
A. gG25
B. aG20
C. gM20
D. aF25
Montaż i eksploatacja środków…
Jaki jest główny cel stosowania pantografu w pojazdach trakcyjnych?
A. poprawa stabilności pojazdu
B. zmniejszenie oporów powietrza
C. zwiększenie efektywności energetycznej
D. zbieranie prądu z sieci trakcyjnej
Montaż i eksploatacja sieci z…
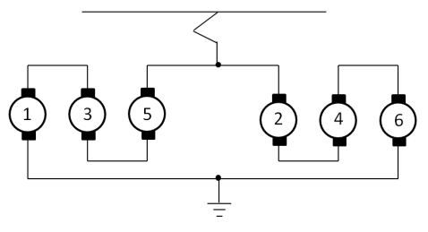
Podczas prawidłowej pracy wszystkie wyłączniki są załączone. W przypadku wystąpienia zwarcia w miejscu Z zadziałają wyłączniki

A. 2, C i 4
B. 2 i 4
C. C i 4
D. 2, B, C i 4
Montaż i eksploatacja środków…
W wózku przedstawionym na ilustracji pierwszy stopień usprężynowania stanowią

A. elementy metalowo-gumowe.
B. sprężyny śrubowe.
C. resory piórowe.
D. miechy pneumatyczne.
Montaż i eksploatacja środków…
Na ilustracji jest przedstawiony uniwersalny ciągnik szynowy UCS-40, który jest przeznaczony do

A. pomiarów geometrii toru kolejowego.
B. pasażerskiego ruchu lokalnego.
C. podbijania torów.
D. prac rewizyjnych przy sieci trakcyjnej.
Montaż i eksploatacja środków…
Na rysunku przedstawiono odbierak

A. połówkowy.
B. rolkowy.
C. nożycowy.
D. pałąkowy.
Montaż i eksploatacja środków…
Na ilustracji przedstawiono

A. lokomotywę elektryczną.
B. spalinowy zespół trakcyjny.
C. lokomotywę spalinową.
D. elektryczny zespół trakcyjny.
Montaż i eksploatacja środków…
Masa lokomotywy o sześciu osiach wynosi 120 t. Przy równomiernym rozkładzie masy, nacisk pojedynczego zestawu kołowego na tor wynosi w przybliżeniu
A. 400 kN
B. 800 kN
C. 200 kN
D. 100 kN
Montaż i eksploatacja sieci z…
Podczas instalacji transformatorów olejowych w stacjach wewnętrznych nie jest dozwolone
A. budowanie komory z materiałów niepalnych bez okien
B. wykonanie drzwi z blachy stalowej otwierających się na zewnątrz
C. umieszczenie szczelnej misy pod kadzią transformatora
D. umieszczanie dwóch transformatorów w tej samej komorze
TKO.06 Pytanie 191
Montaż i eksploatacja środków…
Na rysunku przedstawiono

A. wstawkę hamulcową.
B. elektromagnes (czujnik) SHP.
C. czujnik ciśnienia.
D. klocek hamulcowy.
Montaż i eksploatacja sieci z…
Kabiny sekcyjne szlakowe
A. domykają poprzecznie jednostronnie zasilany końcowy odcinek dwutorowej linii kolejowej
B. łączą sekcyjne kabiny zasilające linie, które łączą się w danym węźle
C. łączą kilka podstacji trakcyjnych, zasilających linie, które spotykają się w tym węźle
D. usytuowane są w bliskim sąsiedztwie środka odcinka pomiędzy podstacjami na liniach dwutorowych
Montaż i eksploatacja sieci z…
W instalacji elektrycznej zmierzono metodą techniczną impedancję pętli zwarcia, otrzymując następujące wyniki pomiarowe: U0 = 228 V, U = 208 V, I = 15 A. Jaką wartość ma impedancja pętli zwarcia?
A. 15,20 Ω
B. 1,33 Ω
C. 13,87 Ω
D. 0,75 Ω
Montaż i eksploatacja środków…
Linki uszyniające, łączące w pojeździe trakcyjnym ramę wózka z maźnicą zestawu kołowego, mają za zadanie
A. ochronę obręczy zestawów kołowych od korozji elektrycznej.
B. podgrzewanie smaru w maźnicy.
C. stanowić zabezpieczenie przed wypadnięciem zestawu kołowego z ramy wózka.
D. odprowadzanie ładunków elektrycznych do zestawu kołowego.
Montaż i eksploatacja sieci z…
Z oznaczenia H07VV-U3G2,5mm2 na przewodzie wynika, że żyły w tym kablu wykonane są w formie
A. drutu aluminiowego
B. linki aluminiowej
C. drutu miedzianego
D. linki miedzianej
Montaż i eksploatacja sieci z…
Wyłączniki nadmiarowoprądowe chroniące wewnętrzne linie zasilające w systemie TN-S 3 x 400 V powinny być stosowane
A. w przewodach fazowych oraz neutralnym
B. jedynie w przewodach fazowych
C. we wszystkich przewodach bez względu na ich przeznaczenie
D. na przewodzie ochronnym
TKO.06 Pytanie 197
Montaż i eksploatacja środków…
Przedstawionym fragmentem dokumentu jest karta utrzymania

A. wagonu pasażerskiego.
B. lokomotywy elektrycznej.
C. wagonu towarowego.
D. lokomotywy spalinowej.
Montaż i eksploatacja sieci z…
Który z poniższych materiałów jest najczęściej używany do produkcji przewodów jezdnych w sieciach trakcyjnych?
A. Miedź
B. Żelazo
C. Aluminium
D. Stal
Montaż i eksploatacja środków…
W pojazdach kolejowych eksploatowanych na terenie Unii Europejskiej stosuje się
A. miedziane nakładki ślizgowe odbieraków prądu.
B. miedziane pokryte smarem grafitowym nakładki ślizgowe odbieraków prądu.
C. węglowe (grafitowe) z domieszką miedzi nakładki ślizgowe odbieraków prądu.
D. wykonane ze stali miękkiej odpornej na ścieranie nakładki ślizgowe odbieraków prądu.
Montaż i eksploatacja środków…
Przedstawione w tabeli parametry dotyczą silnika
| Lp. | Nazwa parametru | Wartość | Jednostka |
|---|---|---|---|
| 1. | Nominalny przepływ oleju | 150 | l/min |
| 2. | Prędkość obrotowa | 1 000 | obr/min |
| 3. | Chłonność | 75 | cm³/obr |
| 4. | Maks. ciśnienie robocze | 35 | MPa |
| 5. | Moment obrotowy | 326 | Nm |
A. trakcyjnego.
B. rozruchowego.
C. hydrostatycznego.
D. spalinowego.