Filtrowanie pytań
Użytkowanie obrabiarek skrawa…
A. stali narzędziowych do pracy na gorąco
B. stali szybkotnących
C. spiekanych tlenków metali
D. stali narzędziowych do pracy na zimno
Użytkowanie obrabiarek skrawa…
Który blok przedstawionego programu należy edytować, aby zmienić prędkość obrotową wrzeciona tokarkiCNC?
| N005 G90 G54 X0 Z120 |
| N010 T0202 |
| N015 S680 M04 |
| N020 G00 X60 Z0 |
| N025 G01 X-2 F.1 |
A. N025
B. N015
C. N005
D. N010
Użytkowanie obrabiarek skrawa…
Którym narzędziem należy wykonać rowek pod wpust pokazany na zdjęciu?

A. C.
B. B.
C. D.
D. A.
MEC.05 Pytanie 324
Użytkowanie obrabiarek skrawa…
Maszyna, która dzięki wytaczadłom umożliwia tworzenie otworów o wysokiej precyzji (do piątej klasy dokładności i o niskiej chropowatości powierzchni, Ra ≤ 0,08 mm), to
A. wiertarka promieniowa
B. szlifierka do otworów
C. wytaczarko-frezarka
D. tokarka produkcyjna
MEC.05 Pytanie 325
Użytkowanie obrabiarek skrawa…
Uruchomienie obrabiarki CNC w trybie pracy automatycznej "blok po bloku" wymaga naciśnięcia przy w kolejności:

A. RESET→MDA→JOG
B. MDA→SINGLE BLOCK→JOG
C. JOG→CYCLE STOP→SINGLE BLOCK
D. AUTO→SINGLE BLOCK→CYCLE START
Użytkowanie obrabiarek skrawa…
Aby przeprowadzić testowanie programu obróbczego na maszynie CNC w trybie "automatycznym" blok po bloku, konieczne jest uruchomienie funkcji
A. zmiany pozycji głowicy narzędziowej
B. kółka elektronicznego
C. programu dialogowego
D. Single block
Użytkowanie obrabiarek skrawa…
Na jakim urządzeniu jako narzędzie skrawające wykorzystywany jest frez modułowy ślimakowy?
A. Na strugarce poprzecznej
B. Na frezarce obwiedniowej
C. Na tokarskiej maszynie uniwersalnej
D. Na wiertarce promieniowej
Użytkowanie obrabiarek skrawa…
Co oznacza funkcja M08 w programie sterującym maszyną CNC?
A. dezaktywację elektropompki chłodziwa
B. aktywację elektropompki chłodziwa
C. przerwanie wykonywanego programu
D. zatrzymanie obrotów wrzeciona
Użytkowanie obrabiarek skrawa…
Lokalizacja Punktu Zerowego Obrabianego Przedmiotu określa się w odniesieniu do punktu
A. zerowego obrabiarki
B. referencyjnego
C. wymiany narzędzia
D. odniesienia narzędzia
Użytkowanie obrabiarek skrawa…
W którym bloku programu sterującego można znaleźć informację o przesunięciu punktu odniesienia?
A. N05 G01 X100 F.50
B. N05 G96 S120 M04 T1 D1 F0.2
C. N05 G02 I5 K0 X30 Z-5
D. N05 G90 G54
Użytkowanie obrabiarek skrawa…
Wiór wstęgowy zazwyczaj powstaje w procesie skrawania
A. miękkich, plastycznych metali
B. stali o wysokiej zawartości węgla
C. twardych stopów miedzi
D. żeliwa
MEC.05 Pytanie 332
Użytkowanie obrabiarek skrawa…
Który zestaw obrabiarek umożliwia wykonanie przedstawionego na rysunku otworu w piaście koła zębatego?

A. Frezarka obwiedniowa i szlifierka do otworów.
B. Tokarka i nakiełczarka.
C. Tokarka i dłutownica pionowa.
D. Wiertarka promieniowa i wytaczarka.
Użytkowanie obrabiarek skrawa…
Na wrzecionie szlifierki można zakładać jedynie ściernice, dla których maksymalna prędkość obrotowa jest
A. mniejsza lub równa rzeczywistej prędkości wrzeciona
B. przynajmniej dwa razy większa od rzeczywistej prędkości wrzeciona
C. mniejsza od rzeczywistej prędkości wrzeciona
D. równa albo wyższa od rzeczywistej prędkości wrzeciona
Użytkowanie obrabiarek skrawa…
Sposób realizacji procesów obróbczych do wykonania gwintu wewnętrznego na tokarce uniwersalnej powinien obejmować następujące etapy:
A. nawiercanie, wiercenie, gwintowanie, fazowanie krawędzi
B. wiercenie, nawiercanie, gwintowanie
C. wiercenie, gwintowanie, fazowanie krawędzi
D. nawiercanie, wiercenie, fazowanie krawędzi, gwintowanie
MEC.05 Pytanie 335
Użytkowanie obrabiarek skrawa…
Który fragment programu zawiera funkcję pomocniczą?
A. N90 G01 Z-5 G41 F200 M8
B. N95 G02 X40 Y0 I0 J20 F500
C. N80 G90
D. N85 G01 X20 F2000
Użytkowanie obrabiarek skrawa…
Które zależności parametrów skrawaniasą zgodne z wymaganiami obróbki wykańczającej? Skorzystajz objaśnień przedstawionych w tabeli.
|
A. vc↑, ap↓, f↑
B. vc↓, ap↑, f↑
C. vc↓, ap↑, f↓
D. vc↑, ap↓, f↓
Użytkowanie obrabiarek skrawa…
Gdzie mocuje się noże strugarskie?
A. w oprawce
B. w uchwycie
C. w imaku
D. w imadle
Użytkowanie obrabiarek skrawa…
Które z wymienionych zjawisk dotyczących oddziaływania ostrza narzędzia na warstwę wierzchnią oddziałuje w najmniejszym stopniu na wytrzymałość obrabianego przedmiotu?
A. Naprężenia wewnętrzne powstające w trakcie obróbki
B. Zgniot powierzchni w trakcie obróbki
C. Utwardzenie powierzchni w trakcie obróbki
D. Narost na ostrzu, który powstaje podczas obróbki
Użytkowanie obrabiarek skrawa…
Obróbkę powierzchni w kształcie wzoru można przeprowadzić na tokarce
A. uniwersalnej
B. kopiarce
C. produkcyjnej
D. karuzelowej
Użytkowanie obrabiarek skrawa…
W szlifierce do płaszczyzn narzędziem służącym do obróbki jest ściernica
A. listkowa
B. trzpieniowa
C. tarcza
D. stożkowa
Użytkowanie obrabiarek skrawa…
W programie dla frezarki CNC w bloku N145 G01 G91 X100 G41 F350 M3 kod G91 wskazuje na
A. ustawienie stałej prędkości skrawania
B. programowanie przyrostowe
C. ustawienie stałej prędkości obrotowej wrzeciona
D. cykl obróbczy
Użytkowanie obrabiarek skrawa…
Liniał krawędziowy wykorzystywany jest przy weryfikacji
A. płaskości powierzchni.
B. prostopadłości powierzchni.
C. bicia czołowego.
D. równoległości płaszczyzn.
Użytkowanie obrabiarek skrawa…
Włączenie obrabiarki w trybie DRY RUN umożliwia przeprowadzanie
A. wyłącznie w trybach ręcznych
B. z opcją edytowania programu
C. bez wykorzystywania cykli obróbczych
D. testów z przyspieszonym przesuwem
Użytkowanie obrabiarek skrawa…
Oblicz głębokość skrawania ap, przy zakładanej wydajności skrawania Q= 100 cm3/min, podczas obróbki zgrubnej wałka na tokarce uniwersalnej dla następujących parametrów:
Q – ilość usuniętego materiału 100 cm3/min vc – prędkość skrawania 100 m/min fn – posuw na obrót 0,5 mm/obr | ap = Qvc × fn |
A. ap = 2 mm
B. ap = 1 mm
C. ap = 5 mm
D. ap = 10 mm
MEC.05 Pytanie 345
Użytkowanie obrabiarek skrawa…
Na podstawie oznaczeń na przedstawionym rysunku można stwierdzić, że wałek jest ustalony i zamocowany

A. w uchwycie mechanicznym szczękowym i podparty kłem obrotowym.
B. na trzpieniu rozprężnym i podparty kłem obrotowym.
C. w uchwycie pneumatycznym tulejkowym i podparty kłem obrotowym.
D. w uchwycie pneumatycznym szczękowym i podparty kłem obrotowym.
Użytkowanie obrabiarek skrawa…
Która z podanych obrabiarek skrawających posiada system pomiarowy?
A. Tokarka CNC
B. Frezarka obwiedniowa
C. Wiertarka kadłubowa
D. Dłutownica Maaga
MEC.05 Pytanie 347
Użytkowanie obrabiarek skrawa…
Który fragment programu wskazuje na aktywację korekcji prawostronnej narzędzia?
A. G00 G42 X-10 Y20
B. G02 X0 Y20 I0 J-5 F300
C. G01 X45 Y12 F1500
D. G01 G40 X-6 Y19
Użytkowanie obrabiarek skrawa…
Jakie środki należy zastosować do codziennej konserwacji stołu frezarki?
A. smar plastyczny
B. wazelina techniczna
C. olej maszynowy
D. nafta techniczna
Użytkowanie obrabiarek skrawa…
Do wytwarzania zębów w kole zębatym stożkowym należy użyć
A. dłutownicy Fellowsa
B. strugarki wzdłużnej
C. dłutownicy Magga
D. strugarki Gleasona
MEC.05 Pytanie 350
Użytkowanie obrabiarek skrawa…
Korzystając z danych w tabeli, dobierz stos płytek wzorcowych do kontroli wymiaru 14,86 mm
| Tabela płytek wzorcowych długości wg DIN 861/2 | |
|---|---|
| Szereg | Wymiar płytki |
| 0,005 | 1,005 |
| 0,01 | 1,01; 1,02; 1,03; 1,04; 1,05; 1,06; 1,07; 1,08; 1,09; 1,10; 1,11; 1,12; 1,13; 1,14; 1,15; 1,16; 1,17; 1,18; 1,19 |
| 0,1 | 1,20; 1,30; 1,40; 1,50; 1,60; 1,70; 1,80; 1,90 |
| 1 | 2; 3; 4; 5; 6; 7; 8; 9 |
| 10 | 10; 20; 30; 40; 50; 60; 70; 80; 90; 100 |
A. 10 + 3 + 1,8 + 1,07
B. 10 + 2 + 0,8 + 1,16
C. 10 + 3 + 0,7 + 1,16
D. 10 + 2 + 1,8 + 1,06
MEC.05 Pytanie 351
Użytkowanie obrabiarek skrawa…
Na jakich maszynach wytwarzane są zęby w kołach zębatych stożkowych?
A. na strugarce wzdłużnej
B. na dłutownicy Fellowsa
C. na strugarce Gleasona
D. na dłutownicy Magga
Użytkowanie obrabiarek skrawa…
Dla narzędzi skrawających używanych w obróbce na maszynach CNC należy określić
A. dwie wartości korekcji
B. trzy wartości korekcji
C. cztery wartości korekcji
D. jedną wartość korekcji
MEC.05 Pytanie 353
Użytkowanie obrabiarek skrawa…
Aby wykonać ślimak walcowy w warunkach produkcji jednostkowej, najlepiej użyć
A. tokarki
B. strugarki
C. dłutownicy
D. przeciągarki
Użytkowanie obrabiarek skrawa…
Zakończenie podprogramu ze skokiem do początku oznaczane jest za pomocą funkcji
A. M30
B. M08
C. M03
D. M17
Użytkowanie obrabiarek skrawa…
Która z dostępnych funkcji pomocniczych pozwoli na wybór płaszczyzny interpolacji w osiach XY?
A. G01
B. G17
C. G91
D. G90
Użytkowanie obrabiarek skrawa…
Na jakiej obrabiarce używa się narzędzia skrawającego z zębami w formie zębów koła zębatego?
A. Frezarce obwiedniowej
B. Dłutownicy Fellowsa
C. Dłutownicy Maaga
D. Przeciągarce
MEC.05 Pytanie 357
Użytkowanie obrabiarek skrawa…
W jakim dokumencie opisano błędy układu sterowania oraz ich możliwe przyczyny w obrabiarce CNC?
A. w instrukcji obsługi i programowania obrabiarki
B. w instrukcji smarowania obrabiarki
C. w wykazie narzędzi do obróbki
D. w karcie uzbrojenia obrabiarki
Użytkowanie obrabiarek skrawa…
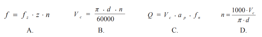
Do obliczenia prędkości obrotowej należy zastosować wzór oznaczony literą

A. B.
B. C.
C. A.
D. D.
Użytkowanie obrabiarek skrawa…
Procesem obróbki wykończeniowej nawierzchni przy użyciu narzędzi szlifierskich, który prowadzi do osiągnięcia wysokiej precyzji wymiarowej oraz kształtowej, a także niskiej chropowatości, jest
A. nagniatanie
B. szlifowanie
C. docieranie
D. przepychanko
MEC.05 Pytanie 360
Użytkowanie obrabiarek skrawa…
Szóstą klasę dokładności oraz chropowatość Ra=0,32 μm otworu przelotowego Ø10 można uzyskać poprzez
A. wytaczanie
B. frezowanie
C. powiercanie
D. rozwiercanie