Filtrowanie pytań

Wybierz zawód, aby zobaczyć dostępne kwalifikacje

Montaż i naprawa maszyn i urz…

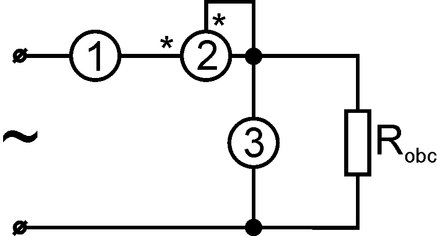
W celu pomiaru mocy metodą techniczną w miejsca oznaczone na schemacie 1, 2 i 3 należy wstawić odpowiednio:

Ilustracja do pytania 1
A. 1 – watomierz, 2 – omomierz, 3 – oscyloskop.
B. 1 – amperomierz, 2 – watomierz, 3 – woltomierz.
C. 1 – omomierz, 2 – amperomierz, 3 – watomierz.
D. 1 – amperomierz, 2 – woltomierz, 3 – watomierz.
Montaż i naprawa maszyn i urz…

Którą wielkość elektryczną można zmierzyć, posługując się miernikiem z cęgami jak na rysunku?

Ilustracja do pytania 4
A. Moc prądu elektrycznego.
B. Rezystancję izolacji przewodów elektrycznych.
C. Energię elektryczną.
D. Natężenie prądu elektrycznego.
Montaż i naprawa maszyn i urz…

Uszkodzenie którego elementu miernika analogowego utrudnia powrót wskazówki do położenia spoczynkowego po zakończeniu pomiaru?

A. Cewki pomiarowej.
B. Magnesu.
C. Nabiegunnika.
D. Sprężyny zwrotnej.
Montaż i naprawa maszyn i urz…

Jak powinien być usytuowany miernik przedstawiony na rysunku zgodnie z symbolem oznaczonym strzałką podczas wykonywania pomiaru?

Ilustracja do pytania 28
A. Odchylony o kąt 15° od pionu.
B. Odchylony o kąt 1,5° od pionu.
C. Pionowo.
D. Poziomo.
Montaż i naprawa maszyn i urz…

Jaka powinna być zależność pomiędzy średnicami czopu i otworu w oprawie połączenia wciskowego wtaczanego jak na przedstawionym rysunku?

Ilustracja do pytania 33
A. d₁=d₂
B. d₁>d₂
C. d₁<d₂
D. d₁≤d₂
Montaż i naprawa maszyn i urz…

Które oznaczenie graficzne zamieszczone na przyrządzie pomiarowym dotyczy położenia miernika podczas wykonywania pomiarów?

A. Oznaczenie 3
Ilustracja do odpowiedzi A
B. Oznaczenie 4
Ilustracja do odpowiedzi B
C. Oznaczenie 2
Ilustracja do odpowiedzi C
D. Oznaczenie 1
Ilustracja do odpowiedzi D