Filtrowanie pytań
Zarządzanie kampanią reklamową
A. DIPADA
B. AIDCAS
C. AIDA
D. DAGMAR
Zarządzanie kampanią reklamową
Jaką kategorię czynników z analizy SWOT przedsiębiorstwa reprezentują wysokie kompetencje pracowników tej organizacji?
A. Słabe strony
B. Zagrożenia
C. Mocne strony
D. Szanse
Zarządzanie kampanią reklamową
Media plan zakłada wyemitowanie 30 spotów telewizyjnych w ciągu 15 dni. Organizacja emisji tych spotów ma mieć charakter pulsacyjny. Który z harmonogramów realizuje to założenie?

A. C.
B. B.
C. A.
D. D.
Zarządzanie kampanią reklamową
Na podstawie zamieszczonego rysunku określ, jakie wymiary ma arkusz papieru formatu A5.

A. 105×148 mm
B. 74×105 mm
C. 148×157 mm
D. 148×210 mm
Wykonywanie przekazu reklamow…
Na której ilustracji widoczny jest efekt powiększenia, czyli przeskalowania obrazu cyfrowegocharakterystyczny dla grafiki rastrowej?

A. Na ilustracji 2
B. Na ilustracji 1
C. Na ilustracji 4
D. Na ilustracji 3
Zarządzanie kampanią reklamową
W materiałach reklamowych nie wolno używać głosu ani wizerunku osób, które prowadziły programy informacyjne, publicystyczne lub dziecięce, w czasie krótszym niż
A. 6 miesięcy przed emisją reklamy
B. 12 miesięcy przed emisją reklamy
C. 9 miesięcy przed emisją reklamy
D. 3 miesiące przed emisją reklamy
Zarządzanie kampanią reklamową
Technika jednoargumentacyjna w trakcie prezentacji oferty agencji reklamowej opiera się na wskazywaniu
A. wadach oraz zaletach produktu
B. wyłącznie wad produktu
C. skutków realizacji zlecenia
D. jedynie korzyści produktu
Zarządzanie kampanią reklamową
Reklama skierowana do odbiorców, mająca na celu zachęcenie do zmian w społeczeństwie, to apel
A. moralny
B. informacyjny
C. racjonalny
D. emocjonalny
Wykonywanie przekazu reklamow…
Smycz reklamowa Liczba Cena jednostkowa brutto Typ A do 100 szt. 10,00 zł powyżej 100 szt. 8,50 zł Typ B do 100 szt. 9,00 zł powyżej 100 szt. 6,50 zł Typ C do 100 szt. 8,50 zł powyżej 100 szt. 6,00 zł Ile zapłaci klient za zakup 120 szt. smyczy reklamowych typu B?
A. 1 080,00 zł
B. 780,00 zł
C. 1 020,00 zł
D. 720,00 zł
Zarządzanie kampanią reklamową
Jaką wartość netto mają 50 sztuk długopisów promocyjnych z nadrukiem, jeżeli ich wartość brutto wynosi 307,50 zł, a stawka VAT to 23%?
A. 378,23 zł
B. 86,85 zł
C. 250,00 zł
D. 223,00 zł
Zarządzanie kampanią reklamową
Do czego służy program komputerowy, którego okno dialogowe zostało przedstawione na rysunku?

A. Projektowania animacji.
B. Montażu wideo.
C. Przygotowywania publikacji wielostronicowych.
D. Tworzenia stron internetowych.
Zarządzanie kampanią reklamową
Na podstawie wykresu określ jaki procent czytelniczek stanowią kobiety w wieku do 44 lat.

A. 34%
B. 28%
C. 18%
D. 80%
Zarządzanie kampanią reklamową
Do kluczowych elementów marketingu-mix nie wchodzi
A. dystrybucja
B. produkt
C. segmentacja
D. cena
Zarządzanie kampanią reklamową
W celu osiągnięcia maksymalnej selektywności w oddziaływaniu na potencjalnego klienta, powinno się zastosować reklamę
A. pocztową
B. zewnętrzną
C. radiową
D. telewizyjną
Wykonywanie przekazu reklamow…
Jakie wymiary ma format papieru oznaczony na rysunku symbolem X?

A. 148 × 210 mm
B. 105 × 148 mm
C. 176 × 250 mm
D. 125 × 176 mm
Zarządzanie kampanią reklamową
W nowoczesnym podejściu, kluczowym etapem procesu sprzedaży jest
A. zamknięcie obsługi
B. ocena zasobności klienta
C. wywołanie zainteresowania
D. potwierdzenie obsługi
Zarządzanie kampanią reklamową
W wyniku analizy segmentacji oraz wyboru grupy docelowej, agencja reklamowa postanowiła dostosować elementy marketingu mix specjalnie dla swojego klienta – dużej sieci handlowej. Jaką strategię marketingową postanowiła wdrożyć ta agencja?
A. Marketingu zróżnicowanego
B. Marketingu zindywidualizowanego
C. Marketingu niezróżnicowanego
D. Marketingu masowego
PGF.08 Pytanie 1098
Zarządzanie kampanią reklamową
Jaką metodą reklamową należy się posłużyć, kierując reklamę do osób, które naśladują zachowania innych?
A. Demonstrowania działania
B. Sprawdzianu naukowego
C. Owczego pędu
D. Rekomendacji
Zarządzanie kampanią reklamową
Zamieszczenie reklamy z grafiką pokrywającą cały tył autobusu, łącznie z szybą, powinno być zapisane w cenniku jako
A. Busboard
B. Dualbusboard
C. Fullback
D. Back
Zarządzanie kampanią reklamową
Jakie rozszerzenie pliku powinno się wybrać, aby grafik w drukarni mógł zmienić styl i kolor czcionki?
A. .gif
B. .jpeg
C. .tiff
D. .cdr
Zarządzanie kampanią reklamową
Jaką metodę prezentacji reklamy powinno się zastosować, aby uwydatnić zalety oraz rozbudowane funkcje nowego robota kuchennego?
A. Demonstracją działania
B. Kawałkiem życia
C. Fantazją
D. Stylem życia
Zarządzanie kampanią reklamową
Reklama stworzona w formie elektronicznej została dostarczona klientowi do zatwierdzenia w postaci pliku z rozszerzeniem MP3. Który z wymienionych formatów reklamowych został przygotowany dla klienta?
A. Reklama radiowa
B. Wizualizacja komputerowa
C. Plakat w dużych rozmiarach
D. Reklama telewizyjna
Zarządzanie kampanią reklamową
Jedną z cech tego rodzaju reklamy jest m.in. brak nietrwałości komunikatu. Dotyczy to reklamy
A. telewizyjnej
B. radiowej
C. drukowanej
D. filmowej
Zarządzanie kampanią reklamową
Które z wymienionych mediów spełnia wymagania określone w strategii reklamy firmy, podane w ramce?
| Strategia reklamy zakłada wykorzystanie medium cechującego się długim czasem ekspozycji, nawet 24 h, wysoką selektywnością geograficzną, atrakcyjną techniką prezentacji i niskim kosztem przygotowania. |
A. Radio.
B. Telewizja.
C. Kino.
D. Outdoor.
Zarządzanie kampanią reklamową
Kiedy klientami przedsiębiorstwa są bardzo młode osoby (rejestrujące się na stronie internetowej firmy), to najskuteczniejszym sposobem dotarcia do nich z nową ofertą będzie zastosowanie
A. wrzutek
B. przesyłek pocztowych
C. e-mailingu
D. katalogu
Zarządzanie kampanią reklamową
W prezentacji dotyczącej oferty sprzedaży uwzględniono cykl życia produktu. W której z jego faz występuje zmiana na komunikację skoncentrowaną na preferencjach i lojalności?
A. Faza wprowadzenia
B. Faza dojrzałości
C. Faza wzrostu
D. Faza spadku
Zarządzanie kampanią reklamową
Pytanie: "W jaki sposób moglibyśmy poprawić obsługę klienta?" jest pytaniem o charakterze
A. półotwartym
B. zamkniętym
C. półzamkniętym
D. otwartym
Wykonywanie przekazu reklamow…
Który zestaw odpowiedzi charakteryzuje budowę zamieszczonego logo?

A. X: sygnet, Y: tagline
B. X: logotyp, Y: sygnet
C. X: sygnet, Y: logotyp
D. X: tagline, Y: logotyp
Zarządzanie kampanią reklamową
Rodzajem umowy, dzięki której znana marka przekazuje innej firmie możliwość korzystania z jej znaku towarowego oraz know-how, przy zachowaniu niezależności obu przedsiębiorstw, jest
A. współpraca marketingowa
B. franczyza
C. koncentracja marketingowa
D. połączenie
Zarządzanie kampanią reklamową
Jak nazywa się przekaz reklamowy, którego zamysł jest ukryty przed odbiorcami?
A. informacją
B. opinią
C. manipulacją
D. perswazją
Zarządzanie kampanią reklamową
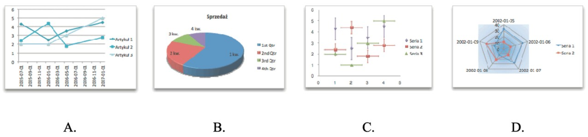
Który wykres pozwala na ilustrowanie zmian danych ciągłych w czasie przy użyciu wspólnej skali, umożliwiając tym samym pokazanie trendów zachodzących w danych w równych odstępach czasu?

A. C.
B. B.
C. D.
D. A.
Zarządzanie kampanią reklamową
Instrument marketingowy specyficzny dla branży usługowej nosi nazwę
A. świadectwo materialne
B. reklama
C. public relations
D. personel
Zarządzanie kampanią reklamową
Dział marketingu przedsiębiorstwa zajmującego się produkcją chemikaliów, opracowuje ulotki reklamowe. Ulotki mają zostać wydrukowane w drukarni w liczbie 2000 sztuk, korzystając z technologii offsetowej. W jakiej palecie kolorów powinna być przygotowana ulotka?
A. RGB
B. CMYK
C. HLS
D. HEX
Zarządzanie kampanią reklamową
Którą z zasad projektowania grafiki przedstawia rysunek?

A. Bliskość.
B. Komunikat zwrotny.
C. Trójpodział.
D. Zasada Pareto.
Zarządzanie kampanią reklamową
Po obszernej kampanii reklamowej firmy oferującej fast food, mieszkańcy państwa X doszli do wniosku, że przestaną spożywać hamburgery. Uważają, że jest to jedzenie dla przeciętnych konsumentów, do których oni się nie zaliczają. Jak z punktu widzenia marketingu można określić zachowanie mieszkańców państwa X?
A. zapomniany raj
B. owczy pęd
C. czar prysz
D. efekt snobizmu
PGF.08 Pytanie 1116
Zarządzanie kampanią reklamową
Renomowana firma motoryzacyjna planuje wprowadzenie nowego produktu na rynek. Postanowiono zastosować strategię PULL, polegającą na kształtowaniu popytu przez bezpośrednie oddziaływanie na konsumenta. Najskuteczniejszymi narzędziami w tej strategii będą
A. trzy kanały dystrybucji
B. akwizycja oraz merchandising
C. public relations i product placement
D. akwizycja oraz promocja sprzedaży
Zarządzanie kampanią reklamową
Który z wymienionych programów komputerowych jest programem do tworzenia grafiki wektorowej, umożliwiający dowolne skalowanie bez utraty jakości?
A. LIGHTROOM
B. COREL DRAW
C. ADOBE PHOTOSHOP
D. GIMP
Zarządzanie kampanią reklamową
Końcowym rezultatem usługi reklamowej w sytuacji zamówienia umieszczenia reklamy na billboardzie będzie
A. opracowanie projektu graficznego
B. przyklejenie przygotowanej grafiki na tablicy reklamowej
C. przesłanie grafiki potrzebnej do realizacji projektu przez zleceniodawcę
D. stworzenie tablicy reklamowej
Zarządzanie kampanią reklamową
Który rodzaj druku powinien zastosować pracownik agencji reklamowej, aby oznakować adresem strony internetowej 300 sztuk gadżetów reklamowych przedstawionych na ilustracji?

A. Offsetowy.
B. Solwentowy.
C. Tamponowy.
D. 3D.
PGF.08 Pytanie 1120
Zarządzanie kampanią reklamową
Agencja marketingowa, starając się osiągnąć maksymalny poziom organizacji norm pracy oraz jej jakości, wydała regulacje adresowane do wszystkich pracowników w celu ich powtarzalnego stosowania. Agencja zastosowała
A. typizację
B. standaryzację
C. unifikację
D. klasyfikację